年年创新各不同 殊途同归探本源
——2024年全国高考甲卷物理试题评析及教学启示
字数:2490
2024-06-23
版名:知行
□樊兰君
2024年全国高考甲卷物理试题第25题的命题特点突出了物理学科本质问题,文本简练,体现创新性,题设层次分明,注重考查通用性、一般性物理方法,突出对学生思维品质的考查,有较强的选拔和甄别功能。
试题分析
试题1:全国高考甲卷物理第25题(题略)
从必备知识方面看,以电磁感应现象单棒外力驱动发电和单棒含容模型为载体,考查具有代表性的核心物理概念、规律和方法,包括变速终极稳态的直线运动、相互作用、电容器充电规律,以及力和运动、功能关系、能量守恒思想的解题方法,需要学生熟练掌握力学、电磁学的基本知识体系并能灵活运用。
从关键能力方面看,要求学生有清晰的物理观念和科学思维,形成相互作用观念、运动观念、功和能量观念的基础上,构建电磁感应现象中的单棒切割模型。分析开关闭合和断开两种不同电路中,外力做功的功率与电阻电功率同等关系下的不同处理方法。
从核心素养导向方面看,试题第(1)问以单棒含阻外力驱动发电模型为切口,隐含考查稳态速度的求解,属于常规学生熟悉的问题情境,但巧妙利用外力做功的功率和电阻R热功率的关系这个非常规考点,考查学生灵活运用力学知识解决电磁学中的运动参量,为试题第(2)问做了思维方法的铺垫和引导。第(2)问含容电路中微元法解决导体棒克服安培力做功是考查学生的高阶思维,促使学生借助高考进一步发展物理学科核心素养。
解题方法与思路:
方法1:运用通式通法,体现逻辑性
(1)开关闭合,电容器被短路不工作,金属棒做加速度减小的加速运动如图1,当金属棒以最大速度为V0匀速运动时,
(2)当金属棒达到速度v时,断开开关S,改变外力F',使导体棒匀速。因电容器C与R串联,则有E=Blv=I'R+UC。
由此式可知,随着电容器的不断充电,由Q=CUC知,UC 不断增大,欲使导体棒速度v恒定,则通过其电 流 I 需 不断 减小 ,对应F'=F'安=BI'l也不断减小。
在此过程中
方法2:旨在回归本源,体现严谨性
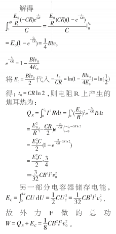
第(1)问同方法1,第(2)问开关S断开后,对导体棒和电阻、电容器构成的回路系统来研究,依据功能关系,从改变外力使金属棒匀速运动到外力做功的功率等于电阻R热功率的2倍的过程中,外力所做的功转化为电阻R上的焦耳热能和电容器储存的电场能,我们先看电阻R上的焦耳热能的分析。
由焦耳定律知道因为流过电阻R的电流在变化,故需寻求电流与时 间 t 的 函数 关系 ,再运用
两种方法殊途同归,对常规思维的高中学生应注重方法1中的通式通法和逻辑性,具有普适性。方法2更注重电磁感应现象是电路中能量守恒定律的具体体现的本质理解,属于高阶思维,同时对学生运用基本微积分知识等数学工具探寻物理学科问题的本质方面要求较高。两种方法的力学、电磁学思想和解题方法为高中物理教学研究提供了分析样例,促使教师在物理课堂教学中应更关注引导学生的核心素养的培养和发展。
试题的创新性关联对比分析
试题2:2022年全国高考甲卷物理第21题(题略)
与试题1相同之处是电磁感应现象情境下的含容(电容器充放电动态过程)和含阻电路,都需要运用力和运动及功能观点体会电磁感应现象的本质是能量守恒定律的具体应用。两试题的不同之处是试题1金属棒有外力作用且第(2)问电容器和电阻R串联金属棒给电容器充电,试题2则是金属棒无外力作用合上开关后,电容器与两个等值电阻R并联,在电容器放电的动态过程中,电容器两板间电荷量逐渐减小,电容器电容不变,因而电势差逐渐减小,同时金属棒MN在加速,产生反向电动势,直到MN棒电流为零,安培力为零时,MN开始减速,直到速度为0,整个过程电能全部转化为电阻和导体棒MN的焦耳热能。试题2涉及知识点较广,过程分析明显要复杂于试题1,难度较大。而试题1要求定量计算,试题2仅要求定性半定量分析。
试题3:2013年新课标Ⅰ卷第25题(题略)
试题3与试题1的第(2)问相同之处是仍为含容电路金属棒有外力驱动,两道试题都考查了极限思想和微元积累效应,考查电磁学的基本规律和动力学分析方法。但这两道试题的不同之处是试题3中金属棒及导轨电阻不计,在电容器充电的动态过程中,电容器两板间电荷量逐渐增大,电容器电容不变,因而电势差逐渐增大,同时金属棒在加速,产生反向电动势,直到电容器达到其耐压值,金属棒的稳定状态是做匀加速直线运动。整个过程从能量转化角度看金属棒下滑过程中的重力势能转化为金属棒的动能和电容器的电场能及金属棒与轨道之间的摩擦热能。试题3考查学生受力、运动分析,综合性强,难度较大,当今学生对此类型试题已经非常熟悉。而试题1的呈现方式就体现了教育部对新高考综合改革以来试题命制的要求——突出物理学科核心主干内容且“常考常新”的特点。
教学启示
综观近年来全国各地高考卷发现,高考物理命题要求优化试题呈现方式,始终遵循“注重通识性方法,淡化特殊技巧”的命题指导思想,加强对学生关键能力和学科素养的考查,引导减少死记硬背和“机械刷题”现象,特别是高考压轴题,物理教师要充分理解试题的命题设计意图,从而优化高中物理教学。
落实课标要求,深化学生基础知识和基本规律的掌握。高考命题严格依据课标,教师在实际教学和复习备考中应严格落实课标要求,注重引导学生明确基本概念和规律的形成过程,通过梳理基本知识形成知识网络和方法的体系化,强化必备知识和方法的迁移应用。只有学生理解了高中物理中的物质观、运动和相互作用观、能量观等三大核心观念统领下的概念和规律,才能“万变不离其宗”有效从试题中获取信息重新加工,透过现象发现物理本质利用已有物理规律灵活应用从而解决问题。
遵循高考评价体系,聚焦学生思维品质和关键能力的提升。近三年全国各地高考物理试题,每年都会涉及涵盖电磁感应现象单双棒模型,属于“常考常新”的模型,重点考查学生的思维品质和综合应用知识规律解决实际问题的能力。试题命制形式的创新变化,就是减少“机械刷题”收益,鼓励学生摆脱思维定势的束缚。教学中教师要通过一题多解、一题多变、多题归一等方式加大对学生模型构建变通能力、批判性思维能力的培养,使学生能够触类旁通、融会贯通、转变解题思路,更加灵活运用所学知识和规律,通过引导学生对同一物理问题进行多角度分析,拓展学生解决问题思维的敏捷性和广阔性,培养学生的高阶思维能力,激发学生的创造力。
2024年全国高考甲卷物理试题第25题的命题特点突出了物理学科本质问题,文本简练,体现创新性,题设层次分明,注重考查通用性、一般性物理方法,突出对学生思维品质的考查,有较强的选拔和甄别功能。
试题分析
试题1:全国高考甲卷物理第25题(题略)
从必备知识方面看,以电磁感应现象单棒外力驱动发电和单棒含容模型为载体,考查具有代表性的核心物理概念、规律和方法,包括变速终极稳态的直线运动、相互作用、电容器充电规律,以及力和运动、功能关系、能量守恒思想的解题方法,需要学生熟练掌握力学、电磁学的基本知识体系并能灵活运用。
从关键能力方面看,要求学生有清晰的物理观念和科学思维,形成相互作用观念、运动观念、功和能量观念的基础上,构建电磁感应现象中的单棒切割模型。分析开关闭合和断开两种不同电路中,外力做功的功率与电阻电功率同等关系下的不同处理方法。
从核心素养导向方面看,试题第(1)问以单棒含阻外力驱动发电模型为切口,隐含考查稳态速度的求解,属于常规学生熟悉的问题情境,但巧妙利用外力做功的功率和电阻R热功率的关系这个非常规考点,考查学生灵活运用力学知识解决电磁学中的运动参量,为试题第(2)问做了思维方法的铺垫和引导。第(2)问含容电路中微元法解决导体棒克服安培力做功是考查学生的高阶思维,促使学生借助高考进一步发展物理学科核心素养。
解题方法与思路:
方法1:运用通式通法,体现逻辑性
(1)开关闭合,电容器被短路不工作,金属棒做加速度减小的加速运动如图1,当金属棒以最大速度为V0匀速运动时,
(2)当金属棒达到速度v时,断开开关S,改变外力F',使导体棒匀速。因电容器C与R串联,则有E=Blv=I'R+UC。
由此式可知,随着电容器的不断充电,由Q=CUC知,UC 不断增大,欲使导体棒速度v恒定,则通过其电 流 I 需 不断 减小 ,对应F'=F'安=BI'l也不断减小。
在此过程中
方法2:旨在回归本源,体现严谨性
第(1)问同方法1,第(2)问开关S断开后,对导体棒和电阻、电容器构成的回路系统来研究,依据功能关系,从改变外力使金属棒匀速运动到外力做功的功率等于电阻R热功率的2倍的过程中,外力所做的功转化为电阻R上的焦耳热能和电容器储存的电场能,我们先看电阻R上的焦耳热能的分析。
由焦耳定律知道因为流过电阻R的电流在变化,故需寻求电流与时 间 t 的 函数 关系 ,再运用
两种方法殊途同归,对常规思维的高中学生应注重方法1中的通式通法和逻辑性,具有普适性。方法2更注重电磁感应现象是电路中能量守恒定律的具体体现的本质理解,属于高阶思维,同时对学生运用基本微积分知识等数学工具探寻物理学科问题的本质方面要求较高。两种方法的力学、电磁学思想和解题方法为高中物理教学研究提供了分析样例,促使教师在物理课堂教学中应更关注引导学生的核心素养的培养和发展。
试题的创新性关联对比分析
试题2:2022年全国高考甲卷物理第21题(题略)
与试题1相同之处是电磁感应现象情境下的含容(电容器充放电动态过程)和含阻电路,都需要运用力和运动及功能观点体会电磁感应现象的本质是能量守恒定律的具体应用。两试题的不同之处是试题1金属棒有外力作用且第(2)问电容器和电阻R串联金属棒给电容器充电,试题2则是金属棒无外力作用合上开关后,电容器与两个等值电阻R并联,在电容器放电的动态过程中,电容器两板间电荷量逐渐减小,电容器电容不变,因而电势差逐渐减小,同时金属棒MN在加速,产生反向电动势,直到MN棒电流为零,安培力为零时,MN开始减速,直到速度为0,整个过程电能全部转化为电阻和导体棒MN的焦耳热能。试题2涉及知识点较广,过程分析明显要复杂于试题1,难度较大。而试题1要求定量计算,试题2仅要求定性半定量分析。
试题3:2013年新课标Ⅰ卷第25题(题略)
试题3与试题1的第(2)问相同之处是仍为含容电路金属棒有外力驱动,两道试题都考查了极限思想和微元积累效应,考查电磁学的基本规律和动力学分析方法。但这两道试题的不同之处是试题3中金属棒及导轨电阻不计,在电容器充电的动态过程中,电容器两板间电荷量逐渐增大,电容器电容不变,因而电势差逐渐增大,同时金属棒在加速,产生反向电动势,直到电容器达到其耐压值,金属棒的稳定状态是做匀加速直线运动。整个过程从能量转化角度看金属棒下滑过程中的重力势能转化为金属棒的动能和电容器的电场能及金属棒与轨道之间的摩擦热能。试题3考查学生受力、运动分析,综合性强,难度较大,当今学生对此类型试题已经非常熟悉。而试题1的呈现方式就体现了教育部对新高考综合改革以来试题命制的要求——突出物理学科核心主干内容且“常考常新”的特点。
教学启示
综观近年来全国各地高考卷发现,高考物理命题要求优化试题呈现方式,始终遵循“注重通识性方法,淡化特殊技巧”的命题指导思想,加强对学生关键能力和学科素养的考查,引导减少死记硬背和“机械刷题”现象,特别是高考压轴题,物理教师要充分理解试题的命题设计意图,从而优化高中物理教学。
落实课标要求,深化学生基础知识和基本规律的掌握。高考命题严格依据课标,教师在实际教学和复习备考中应严格落实课标要求,注重引导学生明确基本概念和规律的形成过程,通过梳理基本知识形成知识网络和方法的体系化,强化必备知识和方法的迁移应用。只有学生理解了高中物理中的物质观、运动和相互作用观、能量观等三大核心观念统领下的概念和规律,才能“万变不离其宗”有效从试题中获取信息重新加工,透过现象发现物理本质利用已有物理规律灵活应用从而解决问题。
遵循高考评价体系,聚焦学生思维品质和关键能力的提升。近三年全国各地高考物理试题,每年都会涉及涵盖电磁感应现象单双棒模型,属于“常考常新”的模型,重点考查学生的思维品质和综合应用知识规律解决实际问题的能力。试题命制形式的创新变化,就是减少“机械刷题”收益,鼓励学生摆脱思维定势的束缚。教学中教师要通过一题多解、一题多变、多题归一等方式加大对学生模型构建变通能力、批判性思维能力的培养,使学生能够触类旁通、融会贯通、转变解题思路,更加灵活运用所学知识和规律,通过引导学生对同一物理问题进行多角度分析,拓展学生解决问题思维的敏捷性和广阔性,培养学生的高阶思维能力,激发学生的创造力。